APP截图
应用介绍
奥特曼融合激战手机版(ULTRA FILE)是一款把奥特曼融入到竞技游戏中卡片搜集类手游,各个新生代的奥特曼和怪兽都将在游戏中出现,利用奥特曼的技能抵御敌人的攻击,华丽的特效效果,为玩家呈现一个极致的战斗体验,致力于保卫地球的安全,感兴趣的小伙伴们还在等什么?就快来下载试玩体验吧!
奥特曼融合激战中文版亮点
·华丽的战斗效果,让玩家沉浸在游戏中。
·多人在线,玩家可以和其他玩家组队一起战斗。
·丰富的角色选择,每个角色都有自己独特的技能和特点。
·多样化的地图和任务,可以让玩家体验不同类型的战斗。

奥特曼融合激战官方版简介
奥特曼融合激战是款以奥特曼形象为主题的动作战斗类型游戏。
在游戏中,玩家将和各个新生代的奥特曼展开接触,并且收集他们成为自己的大将。
和不同的怪兽展开对战,尽情回顾经典,在游戏之中找到童年的无限乐趣吧。
新手攻略
- 进入游戏首页,点击开始;
- 正式进入游戏,玩家在档案中可以查询可以添加的卡牌,然后我们点击战斗;
- 选好难度等级,点击开始战斗;
- 正式进入对战斗后,玩家需要扫描一张卡牌,当然,你也可以随机选择一张奥特曼卡牌;
- 扫描成功后,奥特曼英雄就会加入战场,开启战斗;
- 玩家需要点击怪兽,然后点击攻击建开始对战;
- 最后,进入战斗尾声,玩家需要不断点击屏幕,为奥特曼的大招积蓄能量;
- 积蓄能量完后,奥特曼就会开大,最后,战斗胜利。
奥特曼融合激战手机版卡片人物详解
1、奥特曼融合激战 耀闪新光1弹








2、奥特曼融合激战 曙光再现1弹








3、奥特曼融合激战 耀闪新光2弹








奥特曼融合激战进阶攻略大全
游戏版本进化——

卡片稀有度——

各弹CP卡刷取效果——

属性克制——

全角色属性及爆发类型——

战斗及辅助技能——

开局固有牵绊——

固有牵绊详细加成——

同人牵绊——

牵绊必杀技——

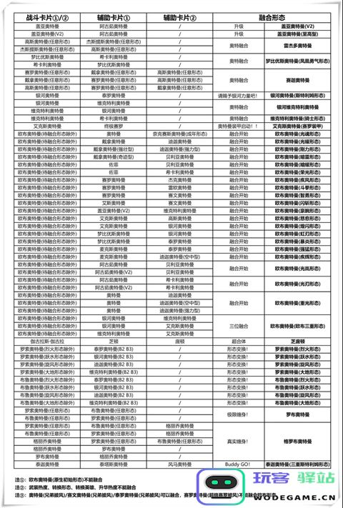
奥特融合及合体——

转换槽及必杀槽——

游戏特色
1、战斗模式很棒,有大量的挑战选项,战斗系统非常强大和灵活。
2、超级竞争,高端技能,灵活挑战,超级刺激,多重测试,解锁新乐趣。
3、你可以从众多强大的奥托英雄中选择,招募强大的角色并随时选择他们。
4、画面设置精美,细节处理到位,拥有超精彩的游戏画面,能够让玩家们感觉到舒心。
5、超高的自由性,玩家可以根据自己的喜好选择超高人气的奥特曼角色进行随意对战。
6、PK对战都是极为精彩,所遇到的对手都是很强,这就需要玩家需不断的增强自身实力。



